Journal About Aims & Scope Indexing For Authors Reviewers Editorial Board All Issues Publication Ethics

Review | 13 March 2026
Volume 13 Issue 1 pp. 76-96 • doi: 10.15627/jd.2026.5

Sequential Multi-Objective Optimization and Post-optimization Sensitivity Analysis of Light Shelf Variables in Semi-Arid Climates

Fatemeh Rezaei,1,* Hamed Sangin,2 Seyed Morteza Hosseini,3,4 Shady Attia5


Author affiliations

1 Faculty of Architecture, KHATAM University, Tehran, Iran
2 Department of Architecture, Faculty of Architecture and Urbanism, University of Art, Tehran, Iran
3 Department of Architecture, Design & Media Technology, Aalborg University, Copenhagen SV, Denmark
4 Department of Architecture and Energy, Faculty of Architecture and Urbanism, University of Tehran, Tehran, Iran
5 Sustainable Building Design Lab, Department of UEE, Faculty of Applied Sciences, University of Liege, 4000 Liege, Belgium

*Corresponding author.
f.rezaei1@khatam.ac.ir (F. Rezaei)
hamed.sangin@gmail.com (H. Sangin)
smho@create.aau.dk (S. Morteza Hosseini)
shady.attia@uliege.be (S. Attia)


History: Received 8 January 2026 | Revised 31 January 2026 | Accepted 6 February 2026 | Published online 13 March 2026


2383-8701/© 2026 The Author(s). Published by solarlits.com. This is an open access article distributed under the terms and conditions of the Creative Commons Attribution 4.0 License.


Citation: Fatemeh Rezaei, Hamed Sangin, Seyed Morteza Hosseini, Shady Attia, Sequential Multi-Objective Optimization and Post-optimization Sensitivity Analysis of Light Shelf Variables in Semi-Arid Climates, Journal of Daylighting, 13:1 (2026) 76-96. doi: 10.15627/jd.2026.5


Figures and tables

Abstract

Global climate action necessitates the optimization of building envelopes during early design to enhance energy efficiency and occupant comfort. Exterior light shelves are a critical passive strategy for improving thermal and visual comfort while simultaneously reducing energy consumption. This study addresses a research gap by integrating sensitivity analysis (SA) and multi-objective optimization (MOO) for light shelf systems in office buildings within Iran's semi-arid continental climate. We systematically investigate the impact of light shelf and window parameters on three key performance metrics: Predicted Mean Vote (PMV) for thermal comfort, Daylight Glare Probability (DGP) for visual comfort, and Energy Use Intensity (EUI) for overall energy performance. Utilizing a robust methodology that employs a multi-objective genetic algorithm (MOGA), the research identifies optimal design solutions by navigating the trade-offs on the Pareto frontier. The key design variables include shading control strategy (SCS), light shelf angle (LSA), length (LSL), height (LSH), viewpoint (VP), visible transmittance (VT), and window-to-wall ratio (WWR). Our findings reveal significant performance improvements: PMV improves by 22%, DGP by 69%, and EUI by 12.6% compared to the baseline model. SA identifies WWR, SCS, and LSA as the most influential parameters, with WWR having a particularly significant effect on glare and energy consumption. The energy simulation is validated against the ASHRAE 140-2020 standard, ensuring the reliability of our results. This research provides a comprehensive framework for designing high-performance façades that prioritize occupant well-being and environmental sustainability.

Keywords

occupant comfort, energy efficiency, façade performance, daylight management, adaptive shading

1. Introduction

The global community faces unprecedented challenges in mitigating climate change and managing finite energy resources. As buildings account for a substantial share of global energy consumption and greenhouse gas emissions, the building sector plays a central role in addressing these challenges [1]. The building envelope—including the roof, walls, windows, and foundations—serves as the primary interface between the conditioned interior and the external environment. Consequently, its design and performance are critical determinants of a building’s overall energy footprint[2]. Recent simulation-based studies emphasize the significant role of façade performance and adaptive shading strategies in enhancing occupant comfort, energy efficiency, and daylight management under both current and future climatic conditions, highlighting the need for integrative, performance-driven evaluation frameworks in façade design research  [3–5]. Moreover, decisions made during the early design stages are particularly influential, as they can lock in a building’s energy performance throughout its entire lifecycle [6].

Approximately 80% of a building's total lifecycle costs, including energy consumption, are determined during this initial phase, making it a critical window for intervention and optimization [7]. For office buildings, which have high internal loads from occupants, lighting, and equipment, the façade is a key driver of energy consumption, especially due to solar heat gain through windows [8]. Effective passive design strategies, such as the use of advanced shading systems [9], are essential for reducing this energy demand while simultaneously enhancing the indoor environmental quality (IEQ), which is directly linked to occupant health, well-being, and productivity [10,11].

Beyond the sheer energy implications of solar heat gain, the strategic management of natural light is crucial for human physiology and psychology. Light is not merely a means to illuminate a space; it is a fundamental environmental cue that regulates our internal biological clock, known as the circadian rhythm. Exposure to sufficient and appropriate levels of daylight helps synchronize this rhythm, which in turn influences sleep patterns, mood, cognitive performance, and overall health [12]. A lack of natural light or exposure to intense, non-uniform light, however, can disrupt these biological processes and lead to issues such as eye strain, reduced productivity, and even seasonal affective disorder (SAD) [13].

A central challenge in façade design is to achieve a delicate balance: maximizing the benefits of daylight while simultaneously preventing its detrimental effects, such as discomfort glare and excessive solar heat gain [14]. Exterior light shelves are a sophisticated passive solution that excels at this dual function. By projecting from the façade, a light shelf acts as an effective sunshade, blocking high-angle direct sunlight from entering the building during hot summer months, thus reducing cooling loads. At the same time, its reflective top surface redirects and bounces diffuse daylight deep into the interior space. This re-distributed light reduces the need for artificial lighting, lowers energy consumption, and provides a more uniform and comfortable visual environment, mitigating the risk of glare [12,15]. The existing body of research demonstrates a marked expansion in studies and advancements related to light shelf systems, particularly those aimed at enhancing human comfort and improving building energy performance.

Despite the extensive body of research on daylighting optimization and light shelf design, most previous studies apply sensitivity analysis either as a pre-optimization screening tool or across the entire design space. Such approaches implicitly assume that variable importance remains invariant before and after optimization. This assumption is problematic because design decisions in practice are made within constrained, high-performance regions rather than across all possible configurations.

The key contribution of this study is to demonstrate that the influence of daylighting-related design variables changes fundamentally once the solution space is restricted to Pareto-optimal configurations. By applying sensitivity analysis exclusively within the post-optimization design space, this research reveals which parameters continue to govern glare, comfort, and daylight performance after minimum performance thresholds have already been met. This distinction is critical for early-stage design decision-making, as it prevents designers from over-prioritizing variables that are influential only in sub-optimal regions.

Accordingly, this paper presents a decision-oriented daylighting framework that moves beyond identifying optimal solutions to explain why certain design variables remain dominant in high-performance façades.

1.1. The state of the art

Recent research consistently demonstrates the potential of light shelf systems to enhance occupants’ comfort and energy efficiency in buildings. Nevertheless, the existing literature remains diverse in scope, with studies adopting different sets of design variables and methodological approaches. Overall, current research can be grouped into four principal categories of design parameters, such as geometric (light shelf angle, length, and height), optical (reflectance and visible transmittance), façade-related parameters (window-to-wall ratio (WWR)), and control or operational strategies (shading control systems and dynamic configurations). Although these parameters jointly influence daylighting, glare, thermal comfort, and energy performance, many earlier studies focus on only a subset of them, leaving opportunities for more integrated evaluation frameworks.

For example, Bahdad et al. (2021) evaluated the effects of light shelf geometric parameters using a simulation–optimization workflow. Their multi-objective optimization (MOO) approach (NSGA-II) focused on useful daylight illuminance (UDI) and cooling performance in a tropical climate and found that light shelf depth and angle significantly enhance daylight uniformity. While their study provides valuable insights into geometric configurations, it does not include façade or control-related parameters, which may also influence performance [16].

Ziaee and Vakilinezhad (2022) conducted a daylight-focused optimization study for educational spaces using Radiance-based simulations coupled with genetic algorithms. Their results highlighted the importance of WWR and shelf dimensions on UDI and glare. Although the study incorporates both geometric and window variables, it primarily emphasizes visual comfort, whereas thermal and energy performance were not within its scope [15]. Similarly, Ebrahimi-Moghadam et al. (2020) investigated interior light shelves using simulation and multi-criteria evaluation. Their analysis showed that multi-level light shelves improve daylight penetration and reduce reliance on artificial lighting. Though their focus differed from exterior light shelves, their findings demonstrate the effectiveness of geometric refinements [17].

Classic work by Shen and Tzempelikos (2013)—though centered on automated blinds—provides an excellent example of how sensitivity analysis can be used to interpret shading performance. Their study revealed how daylighting and glare responses vary with operational strategies, offering methodological insights that are relevant to light shelf research as well [18]. Moreover, Lim and Heng (2016) explored dynamic internal light shelf configurations through parametric simulation, showing that multiple configurations can improve daylight uniformity while maintaining visual comfort. Their methodological approach illustrates the importance of examining both geometry and reflectance properties [19].

A number of studies have examined glare-related challenges in buildings, emphasizing the need for reliable façade design strategies to improve visual comfort. For instance, Khanmohammadi et al. (2019) analyzed glare performance in educational buildings by examining various window-related parameters through extensive Radiance simulations. Their results highlighted the importance of WWR, light shelf length, and observer position in mitigating glare; however, the study remained limited to window configurations and did not incorporate integrated shading strategies such as light shelves. This narrow scope reduces the generalizability of their findings and reinforces the need for broader optimization frameworks that consider geometric, optical, and adaptive parameters simultaneously [20].

Similarly, Ishac and Nadim (2020) investigated daylighting performance in fully glazed educational spaces and proposed a structured workflow for optimizing shading devices using Radiance simulations and genetic algorithms. Their results underscored the value of integrating validated simulations with performance-driven optimization; however, the methodology was applied to a limited set of predefined shading configurations and relied on a narrow sensitivity assessment. This restricts the generalizability of their findings and highlights the need for broader, more flexible optimization frameworks capable of capturing variable interactions across diverse design scenarios [21]. These findings are summarized in Table 1.


Table 1

List of important documents in multi-objective optimization of windows and light shelves (SA: sensitivity analysis, SOO: single-objective optimization, MMO: multi-objective optimization, C: cooling, H: heating, E: electrical, LS: light shelf, E: educational, O: office, R: residential, T: test room, I: institutional).

Table 1. List of important documents in multi-objective optimization of windows and light shelves (SA: sensitivity analysis, SOO: single-objective optimization, MMO: multi-objective optimization, C: cooling, H: heating, E: electrical, LS: light shelf, E: educational, O: office, R: residential, T: test room, I: institutional).


Unlike previous studies that primarily evaluated static light-shelf configurations or single-objective performance metrics, this study integrates multi-objective optimization with a dual-stage sensitivity analysis, enabling simultaneous exploration of daylight autonomy, glare probability, and energy performance. Furthermore, the proposed framework emphasizes design decision-making rather than isolated performance reporting.

1.2. Research objective

This research aims to develop a novel performance-based framework for evaluating and optimizing light-shelf systems by integrating multi-objective optimization with a dual-stage sensitivity analysis. The objective is to identify high-performing light-shelf configurations and to explain the relative influence of key geometric and optical variables on visual, thermal, and energy performance within the optimized design space. By examining these relationships across different space depths, the study seeks to provide a clearer understanding of how design parameters shape façade performance and to support more informed, early-stage design decisions.

2. Methodology

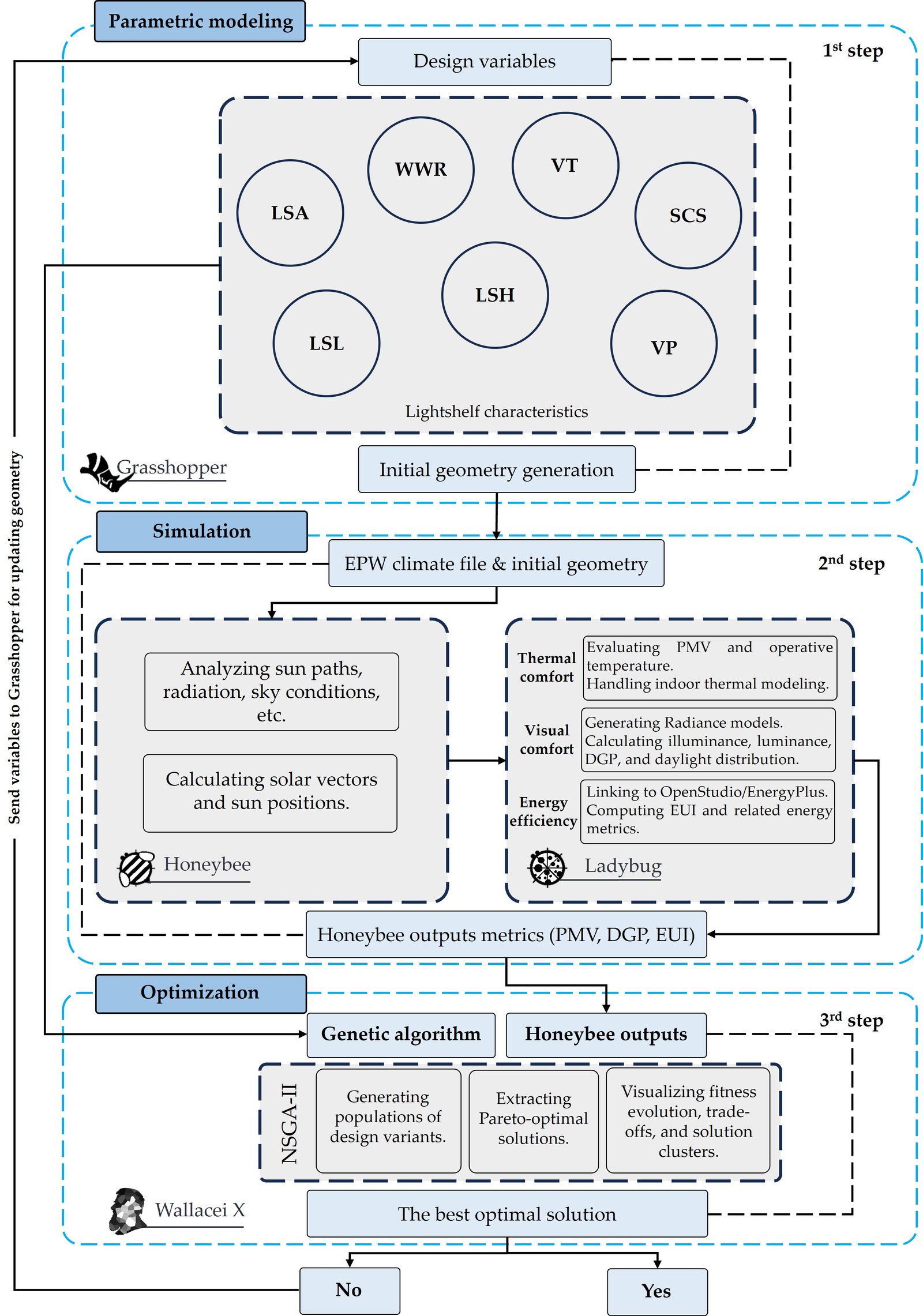
This study employed a simulation-based, performance-driven methodology structured into five key steps: (1) developing a parametric model of a representative south-facing office space with variable window and exterior light shelf configurations; (2) conducting integrated daylight, thermal comfort, and energy simulations to evaluate PMV, DGP, and EUI using validated simulation engines; (3) performing multi-objective optimization through a genetic algorithm to identify Pareto-optimal design solutions that balance competing performance objectives; (4) applying a dual-stage sensitivity analysis, including the Morris method and standardized rank regression coefficients, to quantify the relative influence of design variables within the optimized solution space; and (5) analysing and comparing optimized configurations against the baseline model to extract design insights for early-stage façade decision-making in semi-arid continental climates (Fig. 1).


Figure 1

The research flowchart.

Fig. 1. The research flowchart.


2.1. Model specifications and building characteristics

The case study involves optimizing the design parameters of windows and light shelves for a single office unit located in Tehran, Iran. Tehran is characterized by a semi-arid continental climate with high solar availability, clear skies during most of the year, and significant seasonal temperature variation.

Daylight simulations were conducted using the Tehran Typical Meteorological Year (TMY) file, with Perez all-weather sky models applied to capture realistic sky luminance distributions. This unit is oriented towards the south, a strategic choice given the sun's trajectory in semi-arid climates, which facilitates significant daylight harvesting [15]. The office unit is assumed to be situated on a mid-level floor of a larger building, meaning that only the external wall containing the window is subject to significant heat transfer, while other internal walls are treated as adiabatic boundaries.

The geometry of the office space was meticulously modeled in Rhino with dimensions of 10 m (length) × 5 m (width) × 3 m (height), as depicted in Fig. 2. These dimensions are representative of commonly used large office rooms in Iran [41]. A double-glazed window is installed on the external wall, initially providing a window-to-wall ratio (WWR) of 40%. The window dimensions are 6 m (width) × 2 m (height), positioned 0.4 m from the floor and 0.6 m from the ceiling on either side (Fig. 2).


Figure 2

Geometric configuration of the simulated south-facing office room and light shelf system. The figure illustrates the room dimensions (10 m depth and 3 m height), window placement, and the position of the exterior light shelf. Dashed rays indicate representative summer (red) and winter (blue) solar paths in Tehran, corresponding to maximum (78°) and minimum (31°) solar altitudes. The Viewpoint (VP) represents the eye-level position used for glare evaluation and DGP calculations. The listed parameters (WWR, VT, LSH, LSL, LSA, and SCS) denote the design variables varied during the optimization process.

Fig. 2. Geometric configuration of the simulated south-facing office room and light shelf system. The figure illustrates the room dimensions (10 m depth and 3 m height), window placement, and the position of the exterior light shelf. Dashed rays indicate representative summer (red) and winter (blue) solar paths in Tehran, corresponding to maximum (78°) and minimum (31°) solar altitudes. The Viewpoint (VP) represents the eye-level position used for glare evaluation and DGP calculations. The listed parameters (WWR, VT, LSH, LSL, LSA, and SCS) denote the design variables varied during the optimization process.


The specifications for the building materials adhere to the Iranian National Building Regulations [42].

The thermal properties of the construction materials, detailed in Table 2, are derived from ASHRAE 90.1-2010 standards [43]. A comparative analysis by Hoseinzadeh et al. (2021) concluded that ASHRAE-recommended materials generally demonstrate superior performance, justifying their adoption for this study [44].


Table 2

Building material specifications for this case study.

Table 2. Building material specifications for this case study.


2.1.1. HVAC system and internal gains

The office unit is equipped with a packaged terminal heat pump air conditioner (PTHP), with its capacity automatically calculated based on the extreme heating and cooling loads of the year. Setpoint temperatures for heating and cooling are established at 22°C and 26°C, respectively, active from 8:00 AM to 5:00 PM on weekdays (Saturday to Wednesday in Iran). Outside of office hours, setback temperatures are set at 18°C for heating and 30°C for cooling to minimize energy consumption.

Internal gains are modeled based on typical office occupancy and equipment usage. Five occupants are assumed, each with a metabolic rate of 125 W/person. The clothing insulation level (clo value) for occupants is adapted from ASHRAE 55 (Liaison et al., 2004). Fresh air intake is estimated at 9.44 L/s per person [45]. Electrical equipment operates only during office hours, consuming a constant 450 W. A 500 W fluorescent lighting system is utilized during working hours, managed by an automatic dimmer. A daylight sensor is positioned at desk height (0.8 m above the floor) in the middle of the room to control artificial lighting [45]. A single eye-level sensor was used per simulation because DGP is defined at the occupant VP; spatial variability was addressed by treating the VP as a design variable across the MOO runs, ensuring occupant-centered glare assessment while maintaining computational feasibility for large-scale parametric simulations [18,46,47]. The schedules for occupancy, lighting, and electrical equipment are aligned with the Iranian workweek, as illustrated in Fig. 3.


Figure 3

Operational schedules for occupancy, lighting, and electrical equipment within the office unit.

Fig. 3. Operational schedules for occupancy, lighting, and electrical equipment within the office unit.


2.2. Objective functions

To holistically evaluate the building's performance, three primary objective functions were defined for optimization: PMV for thermal comfort, DGP for visual comfort, and EUI for overall energy consumption.

2.2.1. Predicted Mean Vote (PMV)

Thermal comfort, as defined by ISO Standard 7730:1994 and ASHRAE Standard 55 [48], refers to "that condition of mind which expresses satisfaction with the thermal environment." The PMV index, developed by Fanger (1970), quantifies the mean thermal sensation of a large group of people on a seven-point scale ranging from -3 (cold) to +3 (hot). This index is calculated based on six primary parameters:

\[ PMV=f\left(I_{cl},\ M,\ t_a,\ t_{mrt},\ p_a,\ v\right) \]

where I_cl is clothing insulation (clo), M is metabolic rate (W/m2), Ta is air temperature (°C), Tmrt is mean radiant temperature (°C), Pa is partial water vapor pressure (pa), and V is air velocity (m/s). The first two parameters relate to personal factors, while the latter four are environmental [49]. For optimal comfort, PMV values are typically targeted within the range of -0.5 to +0.5.

2.2.2. Daylight Glare Probability (DGP)

Visual comfort is defined as "the state of mind that expresses satisfaction with the visual environment" [50]. Glare, a sensation caused by excessively high luminance in the visual field, is the most significant factor affecting visual discomfort [51]. It can lead to annoyance, discomfort, or a reduction in visual performance [52]. The DGP index is widely used to assess discomfort glare from daylight sources [53]. Introduced by Wienold and Christoffersen (2005) and subsequently validated [46], DGP is calculated as:

\[ GP=5.87\bullet{10}^{-5}E_v+0.0918\bullet{log}_{10}\left[1+\sum_{i=1}^{n}\left(\frac{L_{s,i}^2\bullet\omega_{s,i}}{E_v^{1.87}\bullet P_i^2}\right)\right]+0.16 \]

where Ev is vertical eye illuminance (lux), Ls, i is the luminance of the source (cd/m2), ωs, i is the solid angle of the source visible to the observer, and Pi is the position index. For office buildings, the maximum acceptable DGP value is generally set at 0.35 [50]. Different glare levels are categorized in Table 3 [54,55]


Table 3

DGP Values and corresponding glare comfort levels.

Table 3. DGP Values and corresponding glare comfort levels.


2.2.3. Energy Use Intensity (EUI)

EUI is a key metric for evaluating the overall energy performance of a building, defined as the annual energy consumption per unit floor area, typically measured in kWh/m2 [16].

EUI accounts for the annual cooling load, heating load, artificial lighting load, and equipment load of the building. A lower EUI value indicates superior energy performance and reduced environmental impact.

2.3. Design variables and their ranges

The primary objective of this study is to identify optimal architectural specifications for windows and exterior light shelves in office buildings. A comprehensive set of seven design variables was selected in this study based on their established influence on thermal comfort, daylighting, glare, and energy performance in façade systems. Geometric parameters (LSA, LSL, and LSH) govern solar interception, daylight redirection, and penetration depth, as demonstrated in studies by [18,19], and [16]. Façade-related variables (WWR and VT) control daylight admission and solar gains and have been shown to strongly affect glare probability and energy use [15,17]. Operational behavior was represented through SCS to account for adaptive shading effects, which have been reported to outperform static systems in maintaining comfort while reducing energy demand [18,19].

Finally, VP was included because glare perception and DGP outcomes are inherently observer-dependent, requiring explicit consideration of occupant position [20,56]. For glare evaluation, a single VP was defined to represent a typical seated occupant position. The VP was located at a height of 1.20 m above the finished floor level, positioned 2.00 m from the interior façade, and oriented perpendicular to the window plane, facing outward. This configuration follows established DGP assessment practices and represents a worst-case visual exposure scenario in office environments. Table 4 outlines these design variables.

Although glare perception may vary spatially across the occupied zone, the use of a single eye-level VP was adopted to ensure computational feasibility within the multi-objective optimization framework. Since all design alternatives are evaluated using an identical VP configuration, the approach enables consistent relative comparison among solutions. Moreover, spatial variability is indirectly addressed through systematic variation of façade geometry, light-shelf dimensions, and shading parameters, which modify the luminous environment reaching the VP across optimization generations.


Table 4

Design variables with their respective units, ranges, intervals, and initial values.

Table 4. Design variables with their respective units, ranges, intervals, and initial values.


One of the key objectives of this research is to assess the impact of different shading control strategies on occupant comfort and energy performance. As summarized in Table 5, nine distinct control strategies were implemented, each designed to influence visual comfort and energy use through different operational logics. These strategies were governed by threshold-based controls, whereby shading deployment was activated when predefined glare or illuminance limits were exceeded.


Table 5

Description of SCS.

Table 5. Description of SCS.


Static strategies maintain fixed shading states throughout occupied hours, whereas dynamic strategies adapt in response to temporal variations in daylight availability and solar position, enabling a systematic comparison between passive and adaptive control approaches.

2.4. Simulation and optimization platforms

The computational workflow for this study integrates several advanced software platforms to facilitate parametric modeling, building performance simulation, and MOO (Fig. 4):

  • Rhinoceros (Rhino): Developed by Robert McNeel & Associates, Rhino is a powerful computer-aided design (CAD) software utilizing Non-Uniform Rational B-Splines (NURBS) for precise geometric modeling [49]. Rhino 8 (SR16) served as the primary environment for developing the detailed 3D parametric model of the office unit.
  • Grasshopper: As a visual programming plugin for Rhino (version 1.0.0007), Grasshopper enables algorithmic design and parametric evaluation [50]. It was used to define the relationships between design variables and the building geometry, allowing for automated generation of various design scenarios.
  • Honeybee and Ladybug: These are open-source environmental analysis plugins for Grasshopper, developed by Mostapha Roudsari [50]. Ladybug (version 0.0.66) was used to import and process the climatic data (Tehran-Mehrabad ITMY weather file) and conduct comprehensive energy analyses. Daylight simulations were conducted using Radiance with the following parameters: -ab 5, -ad 2048, -as 512, -aa 0.1, and -ar 256, ensuring a balance between accuracy and computational efficiency suitable for optimization-based workflows. Honeybee (version 0.0.66) was employed for detailed visual and thermal performance simulations, calculating PMV, DGP, and EUI values for each design iteration.
  • Wallacei X: This MOGA component within the Grasshopper plugin, specifically implementing the Non-dominated Sorting Genetic Algorithm II (NSGA-II), was utilized for the optimization process [57]. Wallacei X is capable of minimizing objective functions and can be configured to transform input objective values for maximization problems. The optimization process investigated 113,400 unique design scenarios to identify the optimal configurations that balance the conflicting objectives of thermal comfort, visual comfort, and energy efficiency.

Figure 4

Schematic representation of the integrated software framework and data flow among modeling, simulation, and optimization tools.

Fig. 4. Schematic representation of the integrated software framework and data flow among modeling, simulation, and optimization tools.


2.5. Validation

To ensure the reliability and generalizability of the simulation results, the energy performance model developed in this study was rigorously validated against the ASHRAE Standard 140-2020: Method of Test Building Performance for Evaluating Simulation Software [58]. This standard provides a set of analytical test cases for comparing the predictions of building energy simulation programs, thereby ensuring their accuracy and consistency. The validation process involved comparing the energy consumption outputs from our Honeybee/EnergyPlus model against the reference values provided by ASHRAE 140-2020. Specifically, we focused on the annual heating and cooling loads for a typical office building under various climatic conditions and operational scenarios. The results demonstrated a strong correlation between our model's predictions and the ASHRAE 140-2020 benchmark data, with deviations falling within acceptable industry ranges. The validation indicates strong agreement between simulated and measured illuminance values, with a Pearson correlation coefficient of R = 0.87 and a mean deviation of 9.6%, confirming the reliability of the simulation model. It confirms that the simulation methodology and the computational tools employed in this research are robust and reliable for predicting building energy performance. The validation against a widely recognized international standard like ASHRAE 140-2020 enhances the credibility of our findings and ensures that the insights derived from the MOO and SA are scientifically sound and applicable to broader contexts within the building performance simulation community.

2.6. Sensitivity Analysis (SA)

To thoroughly understand the influence of each design variable on the defined performance metrics (PMV, DGP, and EUI), two robust SA methods were employed: the Morris method and the Standardized Rank Regression Coefficient (SRC). SA is crucial for identifying the most impactful parameters, thereby streamlining the design process and guiding targeted interventions [16].

2.6.1. Morris’s method (elementary effects)

The Morris method, also known as the Elementary Effects (EE) method, is a global SA technique that efficiently identifies input variables with a significant impact on model outputs, even in the presence of non-linearity and interactions [59]. The procedure involves:

  • Design of experiments: a set of input values for the design variables is generated using a specific sampling strategy across their defined ranges.
  • EE calculation: for each input value, each variable is perturbed individually by a small increment, and the resulting change in the output (the "elementary effect") is measured. This process is repeated for multiple trajectories across the design space.
  • Statistical Analysis: For each variable, two key metrics are calculated:
  • μ∗ (Mu-star): The mean of the absolute values of the EE, which quantifies the overall influence of a variable on the output. A higher μ∗ indicates a greater average impact.
  • σ (Sigma): The standard deviation of the EE, which reflects the non-linearity or interaction effects of a variable. A high σ suggests that the variable's influence is not uniform across the design space or that it interacts significantly with other variables.

By plotting μ∗ against σ, the Morris method provides a visual representation of variable importance and interaction, allowing for the differentiation between influential variables, those with non-linear effects, and non-influential variables.

2.6.2. Standardized Rank Regression Coefficient (SRC)

The SRC method is a robust statistical technique used to analyze the sensitivity of model outputs to changes in input parameters, particularly effective for complex, non-linear relationships [60,61]. In this study, SRC was applied to evaluate the relative impact of various light shelf and window design parameters on PMV, DGP, and EUI.

SRC standardizes the input variables and ranks them based on their relative influence on the output variables. This approach provides a clear understanding of which parameters exert the most and least significant effects on performance measures, as well as how these variables interact with each other. By employing SRC, this study offers a comprehensive SA that aids decision-making in the early design stages of office buildings, promoting the development of spaces that enhance both environmental performance and occupant comfort [62]. The combination of Morris SA and SRC provides a robust framework for identifying critical design parameters, thereby guiding the MOO process more effectively (Fig. 5).


Figure 5

Step-by-step workflow of the sensitivity analysis procedure applied in the study.

Fig. 5. Step-by-step workflow of the sensitivity analysis procedure applied in the study.


3. Results

This section presents the findings of the integrated MOO and SA conducted to enhance thermal-visual comfort and energy efficiency in the studied office building. The results are systematically presented, beginning with an analysis of the Pareto-optimal solutions, followed by an examination of the absolute optimum solutions, and concluding with insights from the SA.

3.1. Pareto frontier solutions

The MOO process generated a set of Pareto-optimal solutions, representing the trade-offs between the three objective functions: PMV, DGP, and EUI. Figure 6 illustrates the scatterplots of the simulated models and their corresponding objective function values, providing a visual representation of the design space and the Pareto front.


Figure 6

The scatterplots of simulated models and the related objective functions.

Fig. 6. The scatterplots of simulated models and the related objective functions.


To establish a baseline for comparison, Table 6 presents the objective function values for the initial (base) model of the south-facing window in Tehran.


Table 6

Objective function values of the base model for the south-facing window in Tehran.

Table 6. Objective function values of the base model for the south-facing window in Tehran.


The design options and the Pareto frontiers were further assessed and visualized using the TT toolbox, Colibri [20], and Design Explorer [50], which allowed for a detailed understanding of the relationships among design variables and objective functions (further details are provided in the Supplementary Material).

Table 7 presents a selection of optimized combinations of physical parameters for the light shelves, along with their resulting objective function values.


Table 7

Selected optimized combinations of physical parameters for light shelves (south-facing window in Tehran).

Table 7. Selected optimized combinations of physical parameters for light shelves (south-facing window in Tehran).


Analysis of the Pareto frontier solutions yields several key observations:

  • LSL and VT: As per Naderi et al. (2020), a thermally comfortable environment typically falls within a PMV range of -0.5 to +0.5 [41]. The results indicate that this condition is consistently met when LSL is fixed at 0.5 m and VT at 40%, suggesting that these values are optimal for maintaining thermal comfort. Deviations from these ranges may adversely affect occupant comfort.
  • WWR: The minimum DGP value (0.31) occurs at a WWR of 40%. A clear positive relationship is observed between WWR and DGP, with increasing window area leading to significantly higher glare levels. For instance, at a WWR of 80%, DGP reaches 0.93, indicating severe visual discomfort. This underscores the dominant role of WWR in glare control.
  • LSA: The lowest EUI values are associated with an LSA of 45°, which appears to provide an optimal balance between daylight utilization and energy efficiency in Tehran’s semi-arid continental climate. Departures from this angle generally increase energy use, indicating that the 45° configuration effectively enhances daylight penetration while limiting excessive solar heat gains.
  • LSH and SCS: Pareto solutions consistently identify an optimal LSH of 0.8 m, highlighting its importance in balancing multiple performance objectives. In addition, SCS number 1 emerges as the most effective control option, delivering superior performance in both occupant comfort and energy efficiency.

3.2. Absolute optimum solutions

Fig. 7 illustrates the absolute optimum solutions extracted from the Pareto fronts through the MOO process for the studied climate. These solutions represent the best overall compromises among all objectives and demonstrate the relative improvements or reductions in occupant comfort and energy performance compared to the base model.


Figure 7

Comparison of occupants' comfort and energy efficiency improvements of the absolute optimum solutions versus the base model.

Fig. 7. Comparison of occupants' comfort and energy efficiency improvements of the absolute optimum solutions versus the base model.


Evaluation of the absolute optimum solutions reveals consistent patterns across performance metrics:

  • Thermal comfort (PMV): All optimal configurations maintain PMV values within the acceptable range of −0.5 to +0.5, indicating stable thermal comfort across scenarios. This consistency suggests that the design variables—particularly the control strategy—are effectively calibrated. Although LSA primarily affects daylighting and visual comfort, its indirect impact on thermal conditions remains well controlled. The recurring optimal LSH value of 0.8 m further indicates its role in minimizing thermal disturbances, likely by supporting appropriate air circulation and limiting localized heat accumulation. Similarly, LSL contributes to thermal comfort by providing sufficient shading while enhancing daylighting.
  • Visual comfort (DGP): The most influential variables affecting DGP are LSA, LSH, LSL, and WWR. Proper adjustment of these parameters is essential to keep DGP below the acceptable threshold of 0.35 for office spaces. While SCS does not directly affect glare, it can indirectly influence DGP through interactions with other design variables. No clear linear relationship is observed between LSA and DGP; however, specific configurations—particularly a 45° angle—are more effective in mitigating glare through improved daylight redirection.
  • Energy consumption (EUI): SCS, LSA, and WWR exhibit the strongest influence on EUI. SCS number 1 consistently yields improved energy performance, whereas SCS number 0 (always active) generally results in slightly higher EUI values (e.g., 133.38 kWh/m²/yr). In contrast, SCS number 1, which operates based on total solar irradiance, produces EUI values ranging from 132.55 to 147.77 kWh/m²/yr. As with DGP, no linear trend is observed between LSA and EUI; nevertheless, a 45° angle enhances daylight availability and reduces artificial lighting demand, contributing to lower energy use. WWR shows a positive correlation with EUI, with larger glazing areas leading to higher energy consumption (e.g., 144.78 kWh/m²/yr at WWR = 80%). Other parameters, including LSH, LSL, and VP, show no strong correlation with EUI within the scope of this study.

3.3. The SA findings

To obtain a comprehensive understanding of how each design variable influences thermal, visual, and energy performance within the optimized design space, this study applies a dual-stage sensitivity analysis using the Morris screening method and SRC. The Morris method provides a global and qualitative assessment by computing multiple elementary effects for each variable, enabling the identification of nonlinear behaviors and interaction effects across the design space.

In contrast, SRC offers a quantitative measure of influence by estimating the standardized magnitude and direction of each variable’s contribution to output variance. Using both methods in combination allows the study to capture the strengths of each approach: Morris reveals which variables are globally influential and potentially interactive, while SRC quantifies how strongly these variables affect PMV, DGP, and EUI within the Pareto-optimal solutions generated by the MOO process. This integrated approach results in a more robust, interpretable, and decision-oriented sensitivity assessment, providing designers with clearer guidance on which parameters should be prioritized in real-world façade design.

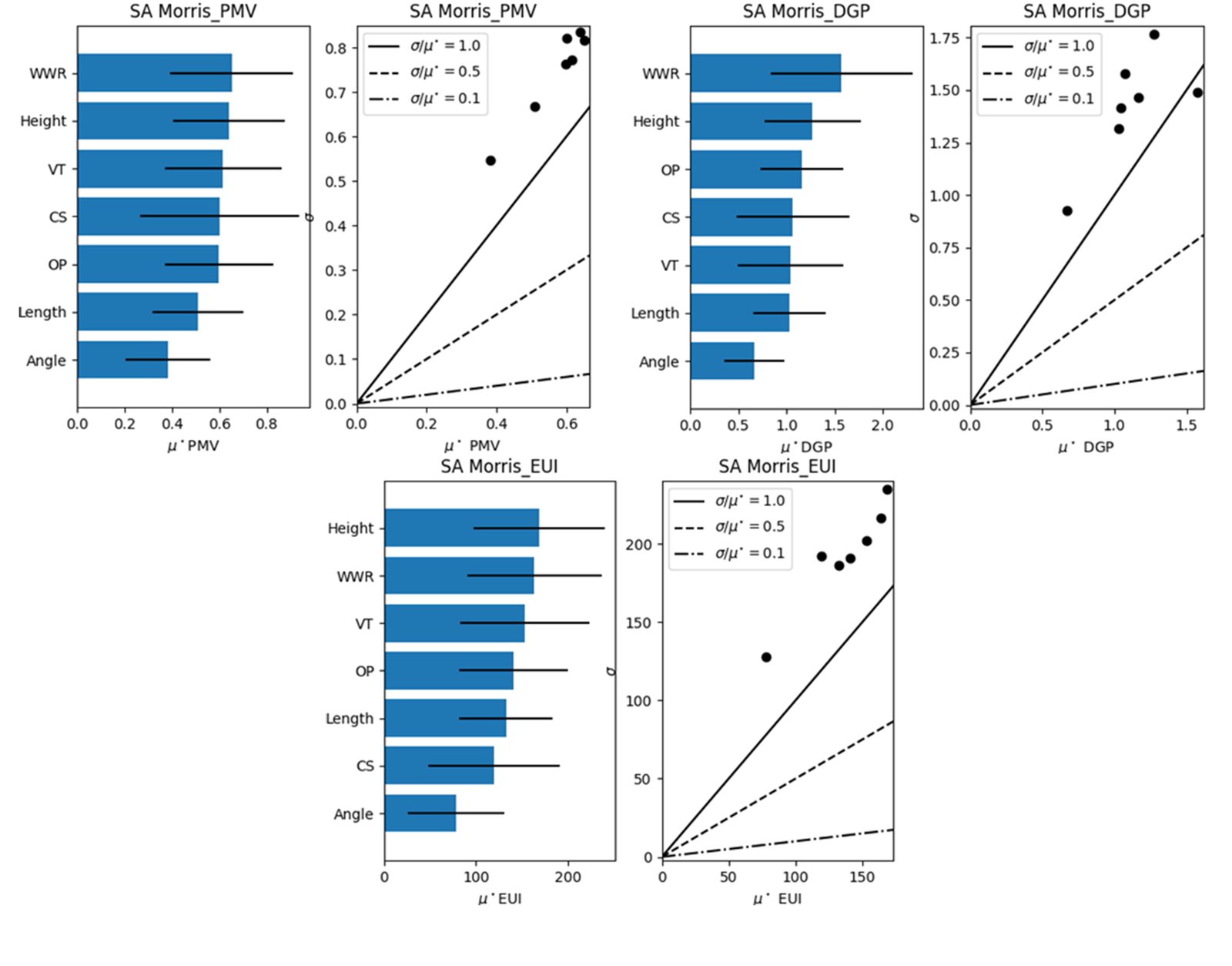
3.3.1. Morris’s method results

Figure 8 presents the results from the Morris method, illustrating the mean of absolute EE (μ∗) and the standard deviation (σ) for each design variable across PMV, DGP, and EUI. The μ∗ values indicate the overall influence, while σ reflects non-linearity and interaction effects.


Figure 8

Mean vs standard deviation scatter plot of  PMV, DGP, and EUI.

Fig. 8. Mean vs standard deviation scatter plot of PMV, DGP, and EUI.


Based on the analysis of these plots:

  • Influence on DGP: WWR is identified as the most influential design variable on DGP. Its significant μ∗ and σ values suggest a substantial impact on DGP, with potential non-linear effects or interactions, meaning its influence can vary considerably under different conditions. In contrast, LSH, VP, and SCS exhibit moderate influences on DGP, showing varying degrees of variability but being less critical than WWR. VT, LSL, and LSA demonstrate low influences on DGP, indicating that changes in these variables are less likely to have a substantial impact on overall glare.
  • Influence on PMV: for PMV, the analysis reveals that WWR, LSH, VT, and VP are the parameters with the greatest impact. Among these, WWR again exhibits the highest significance and variability, implying that changes in WWR can lead to substantial variations in PMV. Conversely, SCS, LSL, and LSA have a lesser impact on PMV, suggesting that PMV is relatively insensitive to changes in these parameters.
  • Influence on EUI: regarding EUI, the analysis similarly identifies LSH and WWR as the most influential parameters, both exhibiting high significance and variability. This implies that alterations in these parameters can significantly affect the energy consumption of a building. While VT, VP, and LSL also contribute to variations in EUI, their influence is less pronounced. SCS and LSA are found to have the least impact on EUI, indicating that EUI is minimally affected by changes in these variables.

3.3.2. SRC results

The SRC method was applied to further quantify the relative influence of each design parameter on the objective functions. Figure 9 illustrates the SRC values for each design variable concerning PMV, DGP, and EUI.


Figure 9

The SRC analysis for objective functions.

Fig. 9. The SRC analysis for objective functions.


The SRC analysis reinforces and expands upon Morris’s method findings:

  • Overall impact: SCS, LSA, and WWR emerge as the most impactful design parameters on the objective functions, particularly on EUI. These factors exhibit high sensitivity, indicating that precise adjustments to these elements can lead to substantial improvements in energy performance and thermal-visual comfort.
  • Lower impact variables: LSH and VT consistently show a relatively lower impact on the overall performance across all objectives, suggesting that their optimization might yield less significant improvements compared to the highly sensitive parameters.
  • Moderate influence: LSL and VP demonstrate a moderate influence on both PMV and DGP, highlighting their relevance for ensuring visual comfort and glare control within office spaces. However, their effects on EUI are comparatively less pronounced.
  • Interactions: The analysis of interactions between these variables (Table 8) reveals complex relationships. For instance, optimizing one parameter, such as LSA, might involve trade-offs with other objectives, like glare reduction (DGP). This underscores the necessity of a balanced approach in design, considering how each variable simultaneously affects multiple objectives.

  • Table 8

    The interaction between design variables.

    Table 8. The interaction between design variables.


The findings from both Morris SA and SRC provide critical guidance for architects and policymakers in the early-stage design of office buildings, especially those incorporating light shelf systems. Understanding which parameters exert the greatest influence on thermal comfort (PMV), visual comfort (DGP), and energy performance (EUI) allows designers to prioritize adjustments that yield the highest returns in terms of occupant satisfaction and building efficiency. For instance, focusing on the SCS and LSA during the initial design phase could lead to optimized energy use and a more comfortable indoor environment, particularly in regions like Tehran with significant seasonal temperature fluctuations and intense sunlight.

4. Discussion

This research presents an integrated sensitivity analysis (SA) and multi-objective optimization (MOO) framework for designing exterior light shelf systems as a passive strategy in early-stage office building design. The study specifically targets a semi-arid continental climate. The findings provide valuable insights into improving thermal comfort, visual comfort, and energy efficiency. This section discusses the implications of the results, compares them with previous studies, and outlines practical guidelines and policy recommendations.

4.1. Implications of MOO findings

The Pareto frontier solutions reveal inherent trade-offs in building design, where improving one performance metric often affects others. The proposed MOO framework effectively addresses these complexities. Compared to the baseline, the optimized solutions achieve a 22% improvement in PMV, a 69% reduction in DGP, and a 12.6% reduction in EUI. These results demonstrate the potential of integrated, performance-driven design approaches.

  • Thermal comfort (PMV): PMV values consistently fall within the comfort range (−0.5 to +0.5) across optimal solutions, particularly when LSL is 0.5 m, and VT is 40%. This indicates that properly designed light shelves contribute to stable indoor thermal conditions. Such stability is essential for occupant well-being and productivity, as thermal discomfort can reduce performance and cause health issues [10]. The limited influence of LSA on PMV suggests that while light shelves primarily affect daylight distribution, their thermal effects are effectively managed through other optimized parameters.
  • Visual comfort (DGP): A strong inverse relationship between WWR and DGP is observed. The optimal DGP value of 0.31 at a WWR of 40% shows that increasing window area, although beneficial for daylighting, substantially increases glare risk. This finding highlights the importance of careful WWR selection and effective shading strategies. The 69% reduction in DGP achieved through optimization confirms the effectiveness of exterior light shelves in mitigating glare, a frequent source of discomfort in office environments [54].
  • Energy consumption (EUI): The lowest EUI is achieved with an LSA of 45°, which emerges as a key finding for energy efficiency in Tehran’s climate. This angle balances daylight penetration while limiting excessive solar heat gains. As a result, reliance on artificial lighting and mechanical cooling is reduced. The 12.6% decrease in EUI represents meaningful energy savings and lower operational costs. In addition, the superior performance of SCS 1 emphasizes the advantage of intelligent, responsive shading controls over static strategies.

4.2. Comparison with previous studies

The higher performance improvements observed in this study compared to earlier research can be attributed to both methodological and parametric advancements. Unlike previous studies that focused on single performance metrics or static configurations [15,16], this work simultaneously optimizes thermal comfort, visual comfort, and energy use. This enables a more balanced exploration of trade-offs among PMV, DGP, and EUI. The inclusion of dynamic shading control strategies extends beyond geometry-based approaches. It allows façade behavior to adapt to changing solar conditions, which is consistent with findings reported by Shen and Tzempelikos (2013) [18].

From a methodological standpoint, the integration of MOO with post-optimization dual-stage sensitivity analysis represents a key contribution. In many prior studies, sensitivity analysis was either applied before optimization or omitted entirely [15–17,20,63]. In contrast, the present approach evaluates parameter influence within the Pareto-optimal solution space. This improves interpretability and highlights variables that truly drive high performance. The results identify WWR, SCS, and LSA as the most influential parameters in the studied climate. Together, these variables explain why the proposed framework produces more robust and actionable design insights than conventional optimization workflows.

  • Energy savings and comfort improvement: the 12.6% reduction in EUI is comparable to, and in some cases exceeds, energy savings reported in earlier studies. For example, Ebrahimi-Moghadam et al. (2020b) reported reductions of 9.44% in cooling, 19.17% in heating, and 11.38% in electrical loads in residential buildings [64]. Bahdad et al. (2021) achieved notable reductions in heating, cooling, and electrical energy use [16]. Cheong et al. (2020) reported energy savings of approximately 5.55% in Singapore [65]. By using a comprehensive EUI metric that includes all major loads, the present study provides a holistic assessment of energy performance. Substantial improvements in PMV (22%) and DGP (69%) are also consistent with existing literature. Rezaei et al. (2024) reported significant reductions in both PPD and DGP using interior light shelves [50]. The current findings extend this evidence to exterior light shelves in semi-arid climates, confirming their effectiveness in enhancing indoor comfort.
  • Influential parameters: the sensitivity analyses show that WWR, SCS, and LSA are the most influential parameters. This aligns with previous studies identifying WWR as a key driver of daylighting and energy performance [66,67]. The importance of SCS is also well established, as dynamic control strategies often outperform static ones [18,68,69]. The identification of LSA, with an optimal value of 45°, provides a climate-specific design guideline for semi-arid regions. The dual sensitivity analysis approach offers a detailed understanding of parameter interactions, which are often overlooked in optimization studies. This strengthens the reliability and applicability of the findings.

4.3. Parameters and performance objectives

The analysis of how individual parameters influence performance objectives provides actionable insights for designers:

  • LSH: While LSH showed a moderate influence on DGP and PMV in the Morris analysis, its consistent optimal value of 0.8 m across Pareto solutions suggests its critical role in balancing light distribution and thermal stratification. An improperly positioned LSH can lead to glare, uneven light, or thermal discomfort due to blocked airflow or inefficient heat distribution [70,71].
  • LSA: The SRC analysis confirms LSA as a highly impactful parameter, particularly for EUI. The optimal 45° angle in Tehran's climate highlights the importance of precise angular adjustments to maximize daylight harvesting while effectively shading against high summer sun and allowing beneficial winter gain. This emphasizes the need for climate-specific design.
  • WWR: WWR consistently emerged as the most influential factor for DGP and EUI in both sensitivity analyses. This reinforces the principle that while larger windows offer more daylight, they are also primary sources of glare and heat transfer. The optimal WWR of 40% for glare control, despite potential EUI increases at higher WWRs, suggests a trade-off that designers must carefully consider.
  • SCS: The SRC results underscore SCS as a major influencer of EUI. SCS number 1, which activates based on total solar irradiance, demonstrates superior energy efficiency. This highlights the value of intelligent, responsive façade systems that dynamically adapt to real-time environmental conditions, reducing reliance on passive or manually controlled systems that may not always be optimal [69].
  • Interactions between design variables: the complex interactions between design variables, as indicated by the σ values in Morris’s method and qualitative insights (Table 8), necessitate a holistic optimization approach. For example, optimizing one parameter, such as LSA, might involve trade-offs with other objectives, like glare reduction (DGP). This confirms that individual parameter optimization is insufficient; an integrated multi-objective framework is essential to achieve balanced, high-performance outcomes.

4.4. Design-oriented interpretation

A key insight from the combined optimization and post-optimization sensitivity analysis is that the relative importance of design variables changes once Pareto-optimal performance is achieved. While many variables influence performance across the full design space, only a subset remains dominant in high-performing solutions. Within the Pareto-optimal region, WWR and SCS continue to govern both visual comfort and energy performance. In contrast, parameters such as LSL and VT show reduced sensitivity after optimization. This indicates diminishing returns from further geometric refinement unless appropriate control strategies are applied. These findings have direct implications for early-stage design. Rather than exploring all geometric variables exhaustively, designers can focus on a smaller set of high-impact parameters once acceptable comfort levels are achieved. The proposed workflow, therefore, translates complex optimization outcomes into actionable, decision-oriented guidance.

4.5. Practical guidelines and policy recommendations

Although this study focuses on a south-facing office space in Tehran’s semi-arid continental climate, the proposed simulation–optimization framework is inherently orientation- and climate-agnostic and can be extended to other geographic contexts and building typologies by adapting climate files, façade orientations, and space depth parameters. Within this transferable framework, the findings provide important implications for integrating optimized light shelf systems into building design practices and policy-making, particularly in semi-arid continental climates. Figure 10 illustrates practical guidelines and policy recommendations.

The recommendations are structured into two main categories:


Figure 10

Practical guidelines and policy recommendations for optimizing light shelf systems in building design.

Fig. 10. Practical guidelines and policy recommendations for optimizing light shelf systems in building design.


Regulatory frameworks should integrate advanced light shelf design principles into national building codes for new construction and renovation projects. These standards should define climate-responsive ranges for parameters such as LSH, LSL, and LSA to ensure energy efficiency and occupant comfort. Financial incentives, including tax credits and grants, can further encourage the adoption of energy-efficient façade systems and dynamic shading controls.

Effective implementation also requires education, experimentation, and monitoring. Training programs should equip architects and designers with skills in parametric modeling and simulation tools, with emphasis on the performance impact of WWR and SCS. Pilot projects in diverse office settings can validate simulation results and refine guidelines. Continuous monitoring of PMV, DGP, and EUI in operational buildings is essential for evaluating long-term performance and supporting iterative updates to regulatory standards.

4.6. Limitations

While this study provides valuable insights, it is important to acknowledge certain limitations:

  • Specific climate zone: the optimization was conducted for a semi-arid continental climate (Tehran). While the methodology is transferable, the specific optimal parameters (e.g., LSA of 45°) might differ significantly in other climatic zones (e.g., humid tropical, cold temperate).
  • The reliance on a single VP does not capture localized glare conditions across the full depth of the space; however, this trade-off was necessary to balance model resolution and computational efficiency in the optimization process.
  • Occupant behavior: while schedules for occupancy, lighting, and equipment were incorporated, the model does not fully account for the dynamic and unpredictable nature of individual occupant behavior, which can significantly impact energy consumption and comfort.
  • Cost analysis: the current study focused solely on performance metrics (comfort and energy) and did not include a cost-benefit analysis of the optimized light shelf systems. Integrating economic factors would provide a more comprehensive assessment for practical implementation.

These limitations highlight avenues for future research to further enhance the generalizability and applicability of the findings

5. Conclusion

This study successfully developed and applied an integrated framework for SA and MOO of exterior light shelf systems in the early-stage design of office buildings, specifically targeting a semi-arid continental climate. The research effectively demonstrated the significant potential of optimized façade elements to enhance both occupant thermal-visual comfort and overall building energy efficiency. The MOO model achieved substantial improvements over the baseline design, resulting in a 22% reduction in PMV, a remarkable 69% reduction in DGP, and a 12.6% decrease in EUI. These quantitative improvements underscore the effectiveness of a holistic design approach. SA, employing both Morris’s method and SRC, identified WWR, SCS, and LSA as the most influential parameters impacting building performance. WWR was particularly critical for glare control and energy efficiency, while SCS and LSA significantly influenced energy consumption. Specific optimal design parameters were identified for the studied climate: an optimal LSL of 0.5 m and VT of 40% consistently maintained thermal comfort. An optimal WWR of 40% was crucial for minimizing glare (DGP of 0.31). The lowest EUI was achieved with an LSA of 45°, highlighting the importance of climate-responsive angular adjustments. Despite the robustness of the proposed framework, certain aspects—including the use of a single viewpoint for glare evaluation and the focus on a specific orientation and climate—have not been fully elaborated. These limitations provide a foundation for future research, which may expand the framework to multiple viewpoints, diverse climatic contexts, and adaptive occupant behavior models. This research offers practical guidance for architects, engineers, and policymakers on integrating intelligent shading systems. Key recommendations include creating regulatory frameworks for façade design and promoting education on building performance. The study provides a methodology and specific design recommendations for optimizing exterior light shelves, especially for similar climates. Future research could explore economic factors and occupant behavior in various building types.

Funding

This work received no external funding.

Author Contributions

Fatemeh Rezaei: Conceptualization, Methodology, Data curation, Formal analysis, Writing – original draft. Hamed Sangin: Methodology, Formal analysis, Writing – review & editing. Morteza Hosseini: Validation, Supervision, Writing – review & editing. Shady Attia: Supervision, Writing – review & editing.

Declaration of competing interest

The authors declare no conflict of interest.

References

  1. E. Bahadori, F. Rezaei, B. J. He, M. Heiranipour, S. Attia, Evaluating urban heat island mitigation strategies through coupled UHI and building energy modeling, Building and Environment, 280 (2025) 113111. https://doi.org/10.1016/j.buildenv.2025.113111
  2. F. Rezaei, A. Faraji, Artificial intelligence (AI)-driven sustainability: A review of smart shading solutions for residential buildings, in: Proceedings of The Third International Conference on Art & Architecture, Advanced Technologies, and Construction Management (IAAC), Tehran, Iran, 12 November 2024, pp. 1-20.
  3. M. Heirani Pour, R. Fayaz, M. Mahdavinia, Optimization of window dimensions regarding light and heat parameters in residential buildings of cold climate: Case study Ilam City, ARMANSHAHR Architecture & Urban Development, 14:35 (2021) 91-101.
  4. M. Heiranipour, M. Juaristi, S. Avesani, F. Favoino, V. Serra, Contrasting building performance and thermal resiliency: A simulation-based quantitative evaluation framework for evaluating the impact of building envelope technologies, International Journal of Building Physics and Construction, 12:27 (2024) 432-437. https://doi.org/10.1007/978-981-97-8313-7_60
  5. S. M. Hosseini, M. Showkatbakhsh, M. J. Mahdavinejad, M. Najafi, An integrated generative-analytic framework for the performance-driven design of kinetic façades, Smart and Sustainable Built Environment, (2025) 1-28. https://doi.org/10.1108/SASBE-07-2025-0388
  6. M. Heiranipour, M. Juaristi, S. Avesani, F. Favoino, Towards early-stage facade design for heat resilient buildings: Impact of weather file generation for office buildings in temperate climates, Building and Environment, 284 (2025) 113459. https://doi.org/10.1016/j.buildenv.2025.113459
  7. J. C. Miles, G. M. Sisk, C. J. Moore, The conceptual design of commercial buildings using a genetic algorithm, Computers & Structures, 79:17 (2001) 1583-1592. https://doi.org/10.1016/S0045-7949(01)00040-2
  8. S. Grynning, B. Time, B. Matusiak, Solar shading control strategies in cold climates: Heating, cooling demand and daylight availability in office spaces, Solar Energy, 107 (2014) 182-194. https://doi.org/10.1016/j.solener.2014.06.007
  9. H. Gholami, F. Rezaei, H. M. Ahmadi, Adaptive façade strategies for energy efficiency: A case study optimization in cold and semi-arid climates, International Journal of Architectural Engineering Technology, 12:98 (2025) 117-144. https://doi.org/10.15377/2409-9821.2025.12.8
  10. M. Frontczak, P. Wargocki, Literature survey on how different factors influence human comfort in indoor environments, Building and Environment, 46 (2011) 922-937. https://doi.org/10.1016/j.buildenv.2010.10.021
  11. J. E. Woods, Cost avoidance and productivity in owning and operating buildings, Occupational Medicine, 4 (1989) 753-770.
  12. J. A. Veitch, G. R. Newsham, Exercised control, lighting choices, and energy use: An office simulation experiment, Journal of Environmental Psychology, 20 (2000) 219-237. https://doi.org/10.1006/jevp.1999.0169
  13. K. A. Al-Sallal, Easing high brightness and contrast glare problems in universal space design studios in the UAE: Real models testing, Renewable Energy, 31:5 (2006) 617-630. https://doi.org/10.1016/j.renene.2005.08.011
  14. F. Rezaei, A. Faraji, Performance assessment of light shelves system in office buildings, in: Proceedings of The Second International Conference on Art & Architecture, Advanced Technologies, and Construction Management (IAAC), Tehran, Iran, 15 May 2024, pp. 1-15.
  15. N. Ziaee, R. Vakilinezhad, Multi-objective optimization of daylight performance and thermal comfort in classrooms with light-shelves: Case studies in Tehran and Sari, Iran, Energy and Buildings, 254 (2022) 111590. https://doi.org/10.1016/j.enbuild.2021.111590
  16. A. A. S. Bahdad, S. F. S. Fadzil, H. O. Onubi, S. A. BenLasod, Sensitivity analysis linked to multi-objective optimization for adjustments of light-shelves design parameters in response to visual comfort and thermal energy performance, Journal of Building Engineering, 44 (2021) 102996. https://doi.org/10.1016/j.jobe.2021.102996
  17. A. Ebrahimi-Moghadam, P. Ildarabadi, K. Aliakbari, F. Fadaee, Sensitivity analysis and multi-objective optimization of energy consumption and thermal comfort by using interior light shelves in residential buildings, Renewable Energy, 159 (2020) 736-755. https://doi.org/10.1016/j.renene.2020.05.127
  18. H. Shen, A. Tzempelikos, Sensitivity analysis on daylighting and energy performance of perimeter offices with automated shading, Building and Environment, 59 (2013) 303-314. https://doi.org/10.1016/j.buildenv.2012.08.028
  19. Y. W. Lim, C. Y. S. Heng, Dynamic internal light shelf for tropical daylighting in high-rise office buildings, Building and Environment, 106 (2016) 155-166. https://doi.org/10.1016/j.buildenv.2016.06.030
  20. F. M. A. Khanmohamadi, M. Pourahmadi, Windows optimization based on glare performance in educational buildings of Iran hot and dry climate, Journal of Sustainable Architecture and Urban Design, 7 (2019) 113-128.
  21. M. Ishac, W. Nadim, Standardization of optimization methodology of daylighting and shading strategy: A case study of an architectural design studio - The German University in Cairo, Egypt, Journal of Building Performance Simulation, 14 (2021) 52-77. https://doi.org/10.1080/19401493.2020.1846618
  22. E. Noorzai, P. Bakmohammadi, M. A. Garmaroudi, Optimizing daylight, energy and occupant comfort performance of classrooms with photovoltaic integrated vertical shading devices, Architectural Engineering and Design Management, 19:4 (2023) 394-418. https://doi.org/10.1080/17452007.2022.2080173
  23. A. A. S. Bahdad, A. Ahmed, S. Fadzil, S. Fairuz, S. Ahmed, Balancing daylight in office spaces with respect to the indoor thermal environment through optimization of light shelves design parameters in the tropics, Indoor and Built Environment, 31:7 (2022) 1963-1985. https://doi.org/10.1177/1420326X221086537
  24. M. Brzezicki, An evaluation of useful daylight illuminance in an office room with a light shelf and translucent ceiling at 51°N, Buildings, 11:11 (2021) 494-514. https://doi.org/10.3390/buildings11110494
  25. P. Zazzini, A. Romano, A. Di Lorenzo, V. Portaluri, A. Di Crescenzo, Experimental analysis of the performance of light shelves in different geometrical configurations through the scale model approach, Journal of Daylighting, 7:1 (2020) 37-56. https://doi.org/10.15627/jd.2020.4
  26. M. Roshan, F. Saadat, Experimental investigation of light shelf system performance to improve the quality of natural light indoors in Guilan, Journal of Renewable and New Energy, 7:2 (2020) 46-57.
  27. A. A. S. Bahdad, S. F. S. Fadzil, Design optimization for light-shelves with regard to daylighting performance improvements in the tropics, Journal of Advanced Research in Fluid Mechanics and Thermal Sciences, 100:3 (2022) 35-50. https://doi.org/10.37934/arfmts.100.3.3550
  28. A. Mesloub, A. Ghosh, Daylighting performance of light shelf photovoltaics (LSPV) for office buildings in hot desert-like regions, Applied Sciences, 10:22 (2020) 1-24. https://doi.org/10.3390/app10227959
  29. T. Lim, W. S. Yim, D. D. Kim, Evaluation of daylight and cooling performance of shading devices in residential buildings in South Korea, Energies, 13:18 (2020) 1-14. https://doi.org/10.3390/en13184749
  30. M. Öner, T. Kazanasmaz, Illuminance and luminance-based ratios in the scope of performance testing of a light shelf-reflective louver system in a library reading room, Light and Engineering, 27:3 (2019) 39-46. https://doi.org/10.33383/2018-067
  31. S. Ruggier, M. Assimakopoulos, R. Mas, F. Rossi, A. Fotopoulou, Multi-disciplinary analysis of light shelves application within a student dormitory refurbishment, Sustainability, 13:15 (2021) 8251. https://doi.org/10.3390/su13158251
  32. B. N. Mohapatra, M. R. Kumar, S. K. Mandal, Positioning of light shelves to enhance daylight illuminance in office rooms, Indonesian Journal of Electrical Engineering and Computer Science, 15:1 (2019) 168-177. https://doi.org/10.11591/ijeecs.v15.i1.pp168-177
  33. M. N. Assimakopoulos, R. F. De Masi, F. de Rossi, A. Ferrante, A. Fotopoulou, D. Papadaki, S. Ruggiero, G.P. Vanoli Application of light shelves in a refurbished student dormitory: Energy, lighting and comfort aspects, Energy Reports, 7:3 (2021) 253-258. https://doi.org/10.1016/j.egyr.2021.06.043
  34. A. Meresi, Evaluating daylight performance of light shelves combined with external blinds in south-facing classrooms in Athens, Greece, Energy and Buildings, 116 (2016) 190-205. https://doi.org/10.1016/j.enbuild.2016.01.009
  35. A. S. Bahdad, S. F. S. Fadzil, N. Taib, Optimization of daylight performance based on controllable light-shelf parameters using genetic algorithms in the tropical climate of Malaysia, Journal of Daylighting, 7:1 (2021) 122-136. https://doi.org/10.15627/jd.2020.10
  36. U. Berardi, H. K. Anaraki, Analysis of the impacts of light shelves on the useful daylight illuminance in office buildings in Toronto, Energy Procedia, 78 (2015) 1793-1798. https://doi.org/10.1016/j.egypro.2015.11.310
  37. R. A. Mangkuto, F. Feradi, R. E. Putra, R. T. Atmodipoero, F. Favero, Optimisation of daylight admission based on modifications of light shelf design parameters, Journal of Building Engineering, 18 (2018) 195-209. https://doi.org/10.1016/j.jobe.2018.03.007
  38. H. Lee, Performance evaluation of a light shelf with a solar module based on the solar module attachment area, Building and Environment, 159 (2019) 106161. https://doi.org/10.1016/j.buildenv.2019.106161
  39. K. Kim, H. Lee, H. Jang, C. Park, C. Choi, Energy-saving performance of light shelves under the application of user-awareness technology and light-dimming control, Sustainable Cities and Society, 44 (2019) 582-596. https://doi.org/10.1016/j.scs.2018.10.005
  40. H. Lee, K. Kim, J. Seo, Y. Kim, Effectiveness of a perforated light shelf for energy saving, Energy and Buildings, 144 (2017) 144-151. https://doi.org/10.1016/j.enbuild.2017.03.008
  41. E. Naderi, B. Sajadi, M. A. Behabadi, Multi-objective simulation-based optimization of controlled blind specifications to reduce energy consumption and thermal and visual discomfort: Case studies in Iran, Building and Environment, 169 (2019) 106570. https://doi.org/10.1016/j.buildenv.2019.106570
  42. Iranian National Building Code, Part 19: Energy Conservation, 4th ed., Ministry of Roads and Urban Development: Tehran, Iran, 2020.
  43. ANSI/ASHRAE, Standard 90.1-2010 Performance Rating Method Reference Manual, PNNL-255130, 2016.
  44. P. Hoseinzadeh, Energy performance of building integrated photovoltaic high-rise building: Case study Tehran, Iran, Energy and Buildings, 235 (2021) 110707. https://doi.org/10.1016/j.enbuild.2020.110707
  45. U.S. Department of Energy, EnergyPlus Input Output Reference, U.S. Department of Energy: Washington, DC, USA, 2019, pp. 1996-2016.
  46. J. Wienold, J. Christoffersen, Evaluation methods and development of a new glare prediction model for daylight environments with the use of CCD cameras, Energy and Buildings, 38:7 (2006) 743-757. https://doi.org/10.1016/j.enbuild.2006.03.017
  47. K. Konis, Evaluating daylighting effectiveness and occupant visual comfort in a side-lit open-plan office building in San Francisco, California, Building and Environment, 59 (2013) 662-677. https://doi.org/10.1016/j.buildenv.2012.09.017
  48. E. Arens, D. Heinzerling, G. Paliaga, Updates to Standard 55 sunlight and indoor thermal comfort, ASHRAE Journal, 60:7 (2018) 12-18.
  49. A. Faraji, M. Rashidi, F. Rezaei, P. Rahnamayiezekavat, A meta-synthesis review of occupant comfort assessment in buildings (2002-2022), Sustainability, 15:5 (2023) 4303. https://doi.org/10.3390/su15054303
  50. F. Rezaei, H. Sangin, M. Heiranipour, S. Attia, A multi-objective optimization of window and light shelf design in office buildings to improve occupants' thermal and visual comfort, Journal of Daylighting, 11:1 (2024) 55-68. https://doi.org/10.15627/jd.2024.4
  51. E. Sorooshnia, M. Rashidi, P. Rahnamayiezekavat, F. Rezaei, B. Samali, Optimum external shading system for counterbalancing glare probability and daylight illuminance in Sydney's residential buildings, Engineering, Construction and Architectural Management, 30:1 (2023) 296-320. https://doi.org/10.1108/ECAM-03-2021-0191
  52. A. Faraji, F. Rezaei, P. Rahnamayiezekavat, M. Rashidi, H. Soleimani, Subjective and simulation-based analysis of discomfort glare metrics in office buildings with light shelf systems, Sustainability, 15:15 (2023) 11885. https://doi.org/10.3390/su151511885
  53. S. Carlucci, G. Cattarin, F. Causone, L. Pagliano, Multi-objective optimization of a nearly zero-energy building based on thermal and visual discomfort minimization using a non-dominated sorting genetic algorithm (NSGA-II), Energy and Buildings, 104 (2015) 378-394. https://doi.org/10.1016/j.enbuild.2015.06.064
  54. S. Carlucci, F. Causone, F. De Rosa, L. Pagliano, A review of indices for assessing visual comfort with a view to their use in optimization processes to support building integrated design, Renewable and Sustainable Energy Reviews, 47 (2015) 1016-1033. https://doi.org/10.1016/j.rser.2015.03.062
  55. P. Bakmohammadi, E. Noorzai, Optimization of the design of primary school classrooms in terms of energy and daylight performance considering occupants' thermal and visual comfort, Energy Reports, 6 (2020) 1590-1607. https://doi.org/10.1016/j.egyr.2020.06.008
  56. C. F. Reinhart, J. Wienold, The daylighting dashboard: A simulation-based design analysis for daylit spaces, Building and Environment, 46:2 (2011) 386-396. https://doi.org/10.1016/j.buildenv.2010.08.001
  57. M. Hakimazari, M. R. Baghoolizadeh, S. M. Sajadi, P. Kheiri, M. Yaghoubi Moghaddam, M. Rostamzadeh-Renani, R. Rostamzadeh-Renani, M. Behzadi Hamooleh, Multi-objective optimization of daylight illuminance indicators and energy usage intensity for office space in Tehran by genetic algorithm, Energy Reports, 11 (2024) 3283-3306. https://doi.org/10.1016/j.egyr.2024.03.011
  58. J. Neymark, Method of test for evaluating building performance simulation software, 2021, pp. 404-636.
  59. I. Costa-Carrapico, B. Croxford, R. Raslan, J. N. Gonzalez, Hygrothermal calibration and validation of vernacular dwellings: A genetic algorithm-based optimisation methodology, Journal of Building Engineering, 55 (2022) 104717. https://doi.org/10.1016/j.jobe.2022.104717
  60. S. Gou, V. M. Nik, J. L. Scartezzini, Q. Zhao, Z. Li, Passive design optimization of newly-built residential buildings in Shanghai for improving indoor thermal comfort while reducing building energy demand, Energy and Buildings, 169 (2018) 484-506. https://doi.org/10.1016/j.enbuild.2017.09.095
  61. R. Wang, S. Lu, W. Feng, A three-stage optimization methodology for envelope design of passive house considering energy demand, thermal comfort and cost, Energy, 192 (2020) 116723. https://doi.org/10.1016/j.energy.2019.116723
  62. A. T. Nguyen, Sustainable housing in Vietnam: Climate responsive design strategies to optimize thermal comfort, 2013.
  63. M. Talaei, H. Sangin, Multi-objective optimization of energy and daylight performance for school envelopes in desert, semi-arid and Mediterranean climates of Iran, Building and Environment, 255 (2024) 111424. https://doi.org/10.1016/j.buildenv.2024.111424
  64. A. Ebrahimi-Moghadam, P. Ildarabadi, K. Aliakbari, A. Arabkoohsar, F. Fadaee, Performance analysis of light shelves in providing visual and thermal comfort and energy savings in residential buildings, Journal of the Brazilian Society of Mechanical Sciences and Engineering, 42:9 (2020) 1-18. https://doi.org/10.1007/s40430-020-02565-2
  65. K. H. Cheong, Y. H. Teo, J. M. Koh, U. R. Acharya, S. C. M. Yu, A simulation-aided approach in improving thermal-visual comfort and power efficiency in buildings, Journal of Building Engineering, 27 (2020) 100936. https://doi.org/10.1016/j.jobe.2019.100936
  66. C. E. Ochoa, M. B. C. Aries, E. J. van Loenen, J. L. M. Hensen, Considerations on design optimization criteria for windows providing low energy consumption and high visual comfort, Applied Energy, 95 (2012) 238-245. https://doi.org/10.1016/j.apenergy.2012.02.042
  67. P. Pilechiha, M. J. Mahdavinejad, F. Pour Rahimian, P. Carnemolla, S. Seyedzadeh, Multi-objective optimisation framework for designing office windows: Quality of view, daylight and energy efficiency, Applied Energy, 261 (2020) 114356. https://doi.org/10.1016/j.apenergy.2019.114356
  68. A. Tzempelikos, H. Shen, Comparative control strategies for roller shades with respect to daylighting and energy performance, Building and Environment, 67 (2013) 179-192. https://doi.org/10.1016/j.buildenv.2013.05.016
  69. A. Norouziasas, A. Tabadkani, R. Rahif, M. Amer, D. V. Dijk, H. Lamy, S. Attia, Implementation of ISO/DIS 52016-3 for adaptive façades: A case study of an office building, Building and Environment, (2023) 110195. https://doi.org/10.1016/j.buildenv.2023.110195
  70. I. M. Franco, Efficacy of light shelves: Passive, dynamic and automatic devices related to light and thermal behavior, Thermal Performance of the Exterior Envelopes of Whole Buildings Conference, 2007.
  71. S. Noshin, H. Kanwal, A. Ahmad, A comparative study on daylight performance assessment of light shelves based on inclination, Mehran University Research Journal of Engineering and Technology, 39:4 (2020) 800-805. https://doi.org/10.22581/muet1982.2004.12

2383-8701/© 2026 The Author(s). Published by solarlits.com. This is an open access article distributed under the terms and conditions of the Creative Commons Attribution 4.0 License.


Get PDF (8.53 MB)



670
Total views


Citations


SHARE ON

Facebook   Twitter   Linkedin   Google+